首頁
部落格
Facebook專頁
ENGLISH
珍藏特展
目錄導覽
技術體驗
成果網站資源
目錄導覽首頁
HOTKEY快速導覽
內容主題
典藏機構
進階搜尋
資源聯盟
首頁
目錄導覽
內容主題
檔案
臺灣省級機關檔案
省府委員會議
05主管會報
首頁
目錄導覽
典藏機構與計畫
國史館臺灣文獻館
典藏日治與戰後史料數位化計畫
臺灣省府委員會議等會議檔案
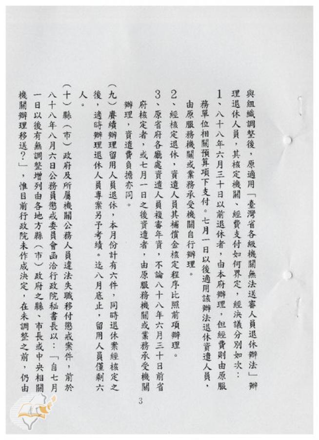
案由:人事室簽為八十八年八月份重要業務辦理情形報請公鑒案。
推薦分享
資源連結
連結到原始資料
(您即將開啟新視窗離開本站)
後設資料
資料識別:
典藏號:00505000506
資料類型:
類型:檔案
描述層次:件
著作者:
提案單位:人事室
描述:
傳記歷史:臺灣省府委員會議等會議檔案
版本:原件
來源:臺灣省政府
保存狀況:良好
日期:
時間:1999-09-13
格式:
實體描述 數量:4頁
語言:
語文:中文
範圍:
時間:1999-09-13
管理權:
典藏地:國史館臺灣文獻館
瀏覽使用限制:開放
影像使用限制:開放
原檔使用限制:限閱
授權聯絡窗口
請洽:
國史館臺灣文獻館
049-2316881分機321
archivesservice@mail.th.gov.tw
引用這筆典藏
引用資訊
人事室(1999-09-13)。[案由:人事室簽為八十八年八月份重要業務辦理情形報請公鑒案。]。《數位典藏與數位學習聯合目錄》。http://catalog.digitalarchives.tw/item/00/36/cc/cf.html(2025/01/06瀏覽)。
直接連結
http://catalog.digitalarchives.tw/item/00/36/cc/cf.html
評分與驗證
請為這筆數位資源評分
感謝您為這筆數位資源評分,為了讓資料更容易被檢索利用,請選擇和這項數位資源相關的詞彙:
公鑒案
請填入更適合的關鍵詞
推薦藏品
案由:物資局呈為中南部水災嚴重以暫停...
案由:法規會簽為文教組擬訂定「臺灣省...
案由:政風室簽為臺灣省政府改制後應申...
案由:資料室簽為業務推動概況暨八十八...
案由:人事室簽為推動臺灣省政府單一窗...
案由:臺灣省政府第十次主管會報於八十...